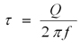
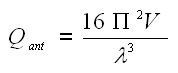
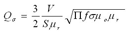
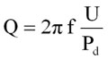
:: Etalonnage de la chambre réverbérante à brassage de mode
Dans cet objectif, nous avons du mettre en place un programme pratique qui permet l’automatisation des mesures car la caractérisation de la chambre nécessite de relever plusieurs paramètres tels que la puissance injectée et la puissance maximale reçue sur une révolution de brasseur par l’antenne de réception. De plus, nous devons commander un certain nombre d’appareil comme le brasseur de modes, la sonde de champ électrique, le générateur…. La mise en place du programme de mesure permet un gain de temps précieux et une difficulté moindre pour les mesures.
Le banc de mesure à automatiser est le suivant :

Banc de mesure automatisé
Sur ce schéma, les angles du volume d’étude constitueront les 8 positions pour les quelles les mesures de champ devront être effectuées.
Les caractéristiques à relever et le programme développé
La procédure d’étalonnage permet de rassembler les données de la sonde de champ électrique, c'est-à-dire les composantes E x, E y et E z. Pour ces composantes, on ne relève que les valeurs maximales. Au niveau des puissances, une acquisition de la puissance d’entrée, de la puissance maximale et moyenne reçues par l’antenne de réception est effectuée. Il est nécessaire de commander le brasseur afin de contrôler sa vitesse de rotation si on utilise le mode continu, ou le pas de déplacement si on opte pour un mode pas à pas. Dans notre cas, nous effectuons notre étalonnage en utilisant le mode pas à pas. Les paramètres à relever sont regroupés dans le tableau ci-dessous.

Tableau 02
-
E x.max: est la valeur maximale de la composante selon l’axe (Ox) sur un tour de brasseur à une fréquence donnée de même pour E y.max, E z.max.
-
E total: est la valeur maximale du champ total sur un tour de brasseur à une fréquence donnée.
-
E total moyen: est la moyenne du champ total sur un tour de brasseur à une fréquence donnée.
-
P in: est la puissance d’entrée.
-
P max reçue: est la puissance maximale reçue sur un tour de brasseur à une fréquence donnée.
-
P max moyen: est la moyenne des puissances maximales reçues sur une rotation de brasseur à une fréquence donnée.
L’automatisation du banc est effectuée à l’aide du logiciel Labview dont la face avant est présentés ci-dessous.
Logiciel d'acquisition des différents paramétres.
Définition du pas de fréquences.
Les variables qui se trouvent dans le tableau 02 sont valables pour une rotation de brasseur et pour une position et une fréquence donnée. Or, l’étude s’effectue sur une gamme de fréquence de 100 MHz à 1 GHz selon un pas de fréquence logarithmique comme l’énonce le tableau 03 de la norme EN 61000-2 .

Tableau 03. Norme EN 61000-2
avec:
- les fréquences sont à l’échelle logarithmique.
- le nombre d’échantillons sont indépendants.
- fs est la fréquence de départ.
Définition du volume d'essai.
La norme EN 61000-4-21 conseille de choisir ce volume de telle sorte qu’il soit à une distance de λ/4 des parois de la chambre, calculé pour la fréquence basse d’utilisation. Le volume choisi étant un cube, la sonde de champ électrique a été successivement placée à chaque sommet du cube, soit 8 positions de la sonde. Pour chacune de ces 8 positions, nous avons relevé les différentes caractéristiques (cf. : tableau 01) pour les 50 points de fréquence de la gamme 100MHz- 1GHz.


Vérification de l’uniformité du champ
1°/ Temps d'acquisation (remarque) :
Le nombre d'acquisition total est de:
(60 acquisitions par tour de brasseur) x (50 pas de fréquence) x (8 positions de la sonde) = 24000 acquisitions ce qui réprésente une journée pour chaque position de la sonde.
2°/ Acquisation et traitement des données:
Une fois les valeurs relevées, un traitement doit être effectué afin de vérifier l’uniformité du champ. Ce traitement consiste à estimer l’écart type pour les composantes Ex, Ey et Ez mesurées aux 8 extrémités du volume d’étude. En effet, le critère d’uniformité du champ est formulé sous forme d’écart type.
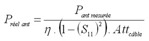
Lors du traitement des données, nous sommes amenés à utiliser la valeur mesurée de la puissance d’entrée mesurée par le wattmètre. Or, cette valeur doit être corrigée car la puissance réellement injectée est également dépendante du câble blindé et de l’antenne d’émission qui sont situés dans la chambre. De même pour la partie réception.
Les corrections à envisager sont les suivantes :
- Les pertes dans les câbles,
- Le coefficient de réflexion des antennes S11 (Tx et Rx)
- Le rendement de l’antenne
3°/ Correction câble et antenne:
3.1 - Pertes dans les câbles

Pertes d’insertions du câble de 6 m et de 4 m utilisés au cours de l’étude (Pin=0 dBm)
3.2 - Coefficient de réflexion des antenne (S11)

S11 des antennes Rx et Tx
3.3 - Rendement des l'antennes
h : facteur de rendement des antennes = 0.75
4°/ Correction des puissances injectées:


5°/ Correction des puissances reçues:


6°/ Normalisation de tous les champs mesurés : (Ex, Ey, Ez) x 8 Positions
La première étape consiste à normaliser les valeurs maximales des composantes de champ mesurées par rapport à la racine de la puissance d’entrée.

Normalisation pour 1W injecté
Où :
- Emax x.y.z est la mesure maximale à partir de chaque axe de la sonde.
- P.réel injectée est la puissance moyenne d’entrée dans la chambre au cours de la rotation d'un tour du brasseur.
- Ex,y,z est la mesure maximale à partir de chaque axe de la sonde divisée par la racine carrée de la puissance d’entrée.
7 °/ Calcul de la moyenne du maximum normalisée
Ensuite, il est nécessaire de calculer les moyennes des valeurs de champ mesurées aux 8 positions pour chaque composantes Ex, Ey et Ez pour déterminer leur écart type associé.

Pour chaque fréquence inférieure à 10 fs, on doit calculer la moyenne normalisée pour toutes les mesures de champs E, en accordant un poids égal à chaque axe (à savoir, chaque composante rectangulaire).
Remarque : < > indique la moyenne arithmétique, à savoir, <E>24 représente la somme des 24 maximums rectangulaires de champs E (normalisés) divisée par le nombre de mesures.
Cette étape doit être répétée pour chaque fréquence supérieure à 10 fs en remplaçant 24 par 9.

Normalisation pour 1W injecté
8 °/ Vérification des prescriptions d’uniformité de champ
Nous allons vérifier pour chaque fréquence inférieure à 10 fs si la chambre satisfait aux prescriptions d’uniformité de champ.
L’uniformité de champ est spécifiée comme un écart type par rapport à la valeur moyenne normalisée des valeurs maximales normalisées, obtenues à chacun des 8 emplacements au cours d’une rotation du brasseur. L’écart type est calculé en utilisant les données provenant de chaque axe de sonde indépendamment et celles de l’ensemble total.
L’écart type est donné comme suit :

Où:
- n est le nombre de mesures,
- Ei est la mesure individuelle normalisée de champ E (à la racine carrée de la puissance d’entrée)
- <Ei> est la moyenne arithmétique des mesures normalisées de champ E.
Nous allons traiter le cas du vecteur x comme exemple.

Où:
- E.xi est la mesure individuelle de vecteur x.
- <E.x> est la moyenne arithmétique des vecteurs normalisés E.max.x des 8 emplacements de mesure.
Et pour tous les vecteurs :

L’écart type est exprimé en dB/moyenne :

Une fois les corrections apportées, les écarts types des différentes composantes de champ sur les 8 positions ont pu être estimés. Les résultats sont présentés ci-dessous.

Ecart type des différentes composantes de champ électrique
La norme EN 61000-4-21 impose une tolérance en matière d’uniformité qui est représentée par la ligne rouge dans la courbe ci-dessus (cf. Limite). L’écart type doit être de 4 dB à 100MHz en décroissant linéairement à 3 dB à 400 MHz et au-delà il doit être inférieur à 3dB. La norme tolère toutefois un nombre de 3 fréquences par octave qui peuvent dépasser la limite.
Les écarts types pour toutes les composantes individuelles de champ et pour l’ensemble total des données sont dans les limites de tolérance et ceci pour les fréquences comprises entre 400 MHz et 1 GHz. Par conséquent, le volume de 2 m x 2 m x 2 m défini préalablement dans la chambre satisfait bien les prescriptions d’uniformité de champ.
La difficulté réside dans la gamme inférieure à 400 MHz dont l’écart type des donnés dépasse ponctuellement la limite imposée par la norme. Toutefois, le texte de norme tolère que 3 points de fréquence excèdent la limite. Ainsi, la fréquence à partir de laquelle les exigences de la norme sont satisfaites est rabaissée à 200 MHz. Lors de l’utilisation de la chambre pour des tests d’immunité, il sera nécessaire de tenir compte de cette fréquence. Le champ pourra être considéré comme statistiquement uniforme dans le volume de travail de 2 m x 2 m x 2 m et à partir de 200 MHz.
|